Looking for a free printable power of attorney template? You’ve come to the right place! Whether you need a POA for medical decisions or financial matters, having a template can make the process much easier.
With a free printable power of attorney template, you can customize the document to suit your specific needs. This legal form allows you to appoint someone to make decisions on your behalf if you become incapacitated.
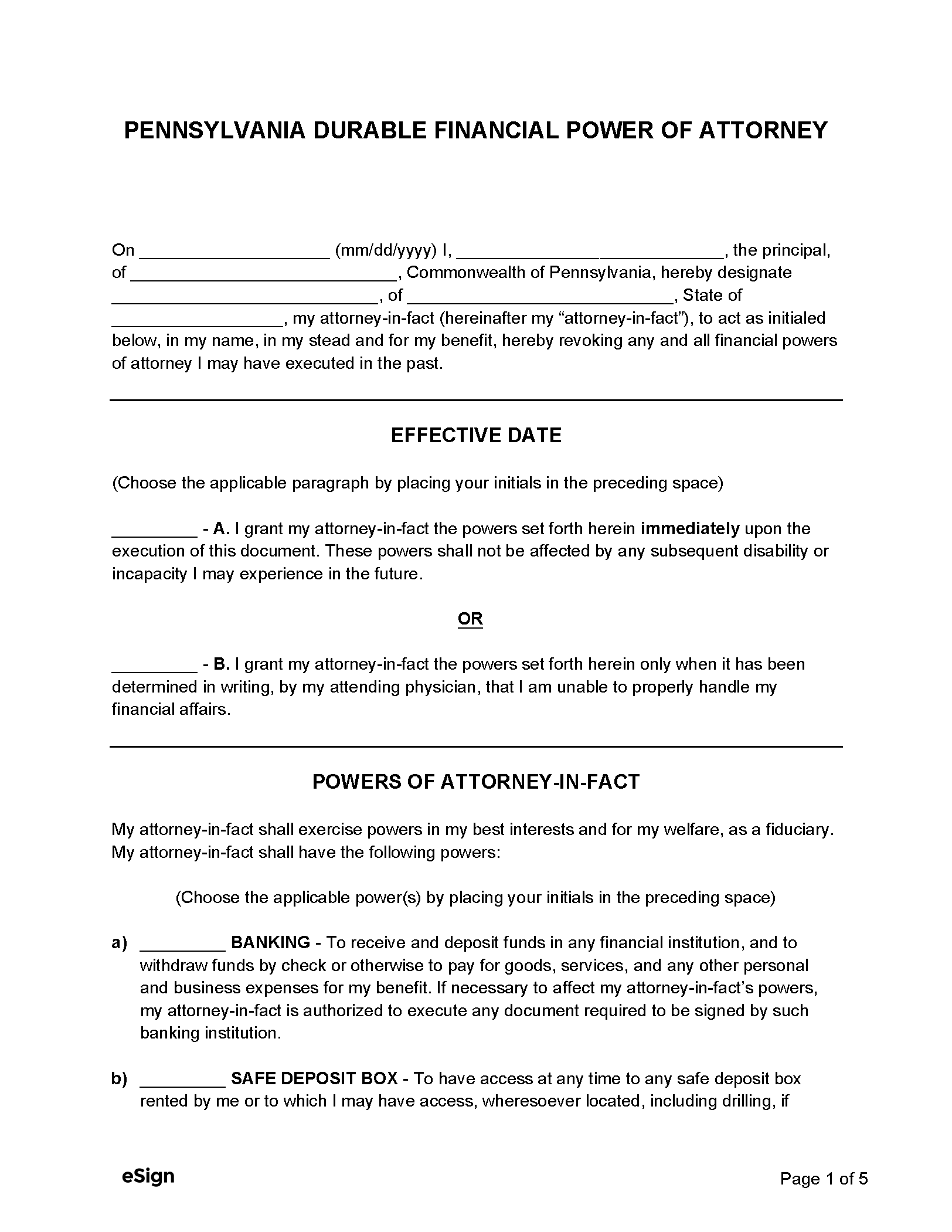
free printable power of attorney template
Benefits of using a free printable power of attorney template
One of the main advantages of using a free printable power of attorney template is that it is easily accessible and customizable. You can download the template, fill in the relevant information, and have a legally binding document in no time.
Having a power of attorney in place can give you peace of mind knowing that your affairs will be taken care of if you are unable to do so yourself. It can also help avoid disputes among family members and ensure that your wishes are followed.
Whether you’re planning for the future or facing a sudden emergency, having a power of attorney in place is essential. Don’t wait until it’s too late – download a free printable power of attorney template today and ensure your affairs are in order.
In conclusion, a free printable power of attorney template is a valuable tool for ensuring that your wishes are carried out in the event of incapacity. Take the time to fill out this important document and provide yourself with peace of mind for the future.
Free Pennsylvania Durable Power Of Attorney Form PDF Word
Free Washington Power Of Attorney Forms 10 Types PDF EForms
Free General Power Of Attorney Forms PDF Word
Free Limited Special Power Of Attorney Form PDF Word EForms
Free Power Of Attorney Forms PDF Word





